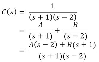
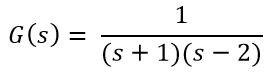
For example this equation :
If we look at this system, we must be agree that this system is not stable.
But, have we ever thought "why it called not stable ?"
Most of you probably say that it because its system have a positive root.
But, If I ask "Why a system with a positive root always be classified as unstable system ?"
What is your answer ???
This is the main topic that we have to discuss about. We called it "The mystery of unstable system". On the first time we discuss it, there are many of us thought that that was normal as an aksioma, because we don't know the real reason which cause of this condition. But is that actually an aksioma ? the truth is not, correlation between positive root and a system is not an aksioma. As a proof now we have to solve this problem.
if the system is given an impuls, what will happen ?
Problem solved, it proofed that a system with at least one positive root definelly not stable !
Written by : Mahayoni, Firman
|
Lisensi Dokumen: Copyright ® 2015 KendasMeka5. Dilarang menyalin sebagian dan atau seluruh konten tanpa ijin penulis. Konten ini dilindungi oleh Undang-undang HAKI Indonesia. Jika masih ingin menggunakan konten ini, silahkan cantumkan link ke konten ini. |

0 komentar:
Speak up your mind
Tell us what you're thinking... !